Kurvendiskussion bei quadratischen Funktionen

Aufgabe ist es ein Programm zu schreiben, welches errechnet und ausgibt wie viele Nullstellen eine quadratische Funktion besitzt und an welcher Stelle sich diese befinden.

Hilfen: Die Normalform einer quadratischen Gleichung ist wie folgt:

Quadratische Funktion

Der Graph der Funktion f(x)=x² sieht so aus:

x²

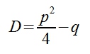
Eine quadratische Funktion kann entweder keine, eine oder zwei Nullstellen besitzen. Um das zu Berechnen gibt es die Diskriminante D:

Diskriminante D

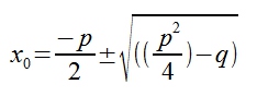
Ist D negativ hat die Funktion keine Nullstelle. Wenn D gleich 0 ist, dann hat die Funktion eine Nullstelle und wenn D positiv ist 2 Nullstellen. Nun wissen Sie nach wie vielen Nullstellen Sie suchen müssen. Die Nullstellen ergeben sich aus dieser Formel:

Nullstellen x1 und x2

Zu einer möglichen Lösung der Kurvendiskussion